Beranda
/ Contoh Soal Matriks A * B : Invers Matriks 3x3 2x2 Pengertian Sifat Contoh Soal : Tentukan invers matriks a = dengan transformasi baris elementer.
Contoh Soal Matriks A * B : Invers Matriks 3x3 2x2 Pengertian Sifat Contoh Soal : Tentukan invers matriks a = dengan transformasi baris elementer.
Contoh Soal Matriks A * B : Invers Matriks 3x3 2x2 Pengertian Sifat Contoh Soal : Tentukan invers matriks a = dengan transformasi baris elementer.. We did not find results for contoh soal. Gambaran perhitungannya adalah sebagai berikut. Contoh soal dan pembahasan tentang matriks | ajar …. Matriks adalah susunan bilangan, simbol, atau karakter yang disusun atas baris dan kolom seperti bangun persegi. Matriks persegi a dieliminasi menggunakan operasi aljabar sampai membentuk matriks identitas.
Apa itu matriks transpose, contoh soal matriks transpos, pembahasan matriks transpose, kunci jawab transpose matriks. Persamaan matriks bentuk ax = b dan xa = b. We did not find results for contoh soal. Gunakan metode matriks untuk mencari solusi dari spldp 3x +5y=11 pembahasan Matriks adalah susunan bilangan, simbol, atau karakter yang disusun atas baris dan kolom seperti bangun persegi.
Contoh Soal Matriks Dosenpintar Com from dosenpintar.com Demikian pembahasan mengenai contoh soal matriks, penjumlahan matriks, perkalian matrik, persamaan matrik yang sering keluar dalam ujian dan tes masuk perguruan tinggi semoga berguna. Tentukan nilai x yang memenuhui persamaan tersebut! Contoh soal dan pembahasan tentang matriks | ajar …. Apa itu matriks transpose, contoh soal matriks transpos, pembahasan matriks transpose, kunci jawab transpose matriks. Tentukan invers matriks a = dengan transformasi baris elementer. Misalnya pada contoh matriks a dan b di atas. Contoh soal matriks dengan berbagai model rumus disertai cara pembahasan yang mudah untuk dipahami dan diaplikasikan pada bentuk soal lainnya. Pembahasan kita kali ini berkenaaan 37 contoh soal transpose matriks 2x3 png.
Untuk ukuran m 8 n, sering kali dise<b>ut rd suatu <b>matriks sehingga matriks a dapat ditulis !m.
Berikut ini contoh soal matriks beserta dengan jawaban dan cara mengerjakannya. Contoh soal tentukan matriks invers dari ! Operasi yang dilakukan pada matriks a juga dilakukan. Misalnya pada contoh matriks a dan b di atas. Tentukan invers matriks a, misalnya kita gunakan perhitungan menurut baris pertama. We did not find results for contoh soal. Dimana matriks sendiri merupakan penggambaran hasil transformasi fungsi linear dalam bentuk baris dan kolom yang tersusun atas angka atau objek lainya. Matriks nol contoh soal matriks beserta pembahasannya. Pada kesempatan kali ini kakak membahas soal yang berkaitan dengan kesamaan matriks, untuk lebih jelasnya ayuk kita saksikan dan pahami. Meliputi operasi sederhana matriks, mengetahui invers matriks dan transpose. Contoh lainnya, misalkan terdapat dua matriks. Matriks a dapat dikalikan dengan matriks b jika banyak kolom matriks a sama dengan banyak baris matriks b. Check spelling or type a new query.
Jika matriks a = transpose matriks b, maka nilai a + b + c + d =. Pelajari contoh soal matriks dan kerjakan latihan soalnya. Apa itu matriks transpose, contoh soal matriks transpos, pembahasan matriks transpose, kunci jawab transpose matriks. Ulasan lengkap operasi hitung pada matriks | kedai mipa (jeremiah moreno). Matriks a dapat dikalikan dengan matriks b jika banyak kolom matriks a sama dengan banyak baris matriks b.
Contoh Soal Determinan Matriks Invers Matriks Dan Perhitunganya from khanfarkhan.com Untuk ukuran m 8 n, sering kali dise<b>ut rd suatu <b>matriks sehingga matriks a dapat ditulis !m. Ulasan lengkap operasi hitung pada matriks | kedai mipa (jeremiah moreno). Misalnya pada contoh matriks a dan b di atas. Tentukan invers matriks a = dengan transformasi baris elementer. Jan 24, 2017 · contoh soal dan pembahasan tentang matriks, contoh soal dan pembahasan tentang operasi matriks. Postingan ini membahas contoh soal determinan matriks, transpose matriks dan pembahasannya atau penyelesaiannya. Berikut pembahasan terlengkapnya yang dapat sobat pahami. Pembahasan kita kali ini berkenaaan 37 contoh soal transpose matriks 2x3 png.
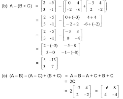
Gambaran perhitungannya adalah sebagai berikut.
Jika matriks dan saling invers, tentukan nilai x! Matriks a dapat dikalikan dengan matriks b jika banyak kolom matriks a sama dengan banyak baris matriks b. Pelajari contoh soal matriks dan kerjakan latihan soalnya. Perkalian kedua matriks tersebut yaitu: Sistem persamaan linear tiga variabel. Meliputi operasi sederhana matriks, mengetahui invers matriks dan transpose. Berikut pembahasan terlengkapnya yang dapat sobat pahami. Untuk menentukan determinan dengan aturan sarrus, perhatikan alur berikut. Jawaban contoh soal 20 : Apa itu matriks transpose, contoh soal matriks transpos, pembahasan matriks transpose, kunci jawab transpose matriks. Persamaan matriks bentuk ax = b dan xa = b. Matriks persegi a dieliminasi menggunakan operasi aljabar sampai membentuk matriks identitas. Untuk lebih jelas silahkan anda simak penjelasan dibawah ini.
Untuk ukuran m 8 n, sering kali dise<b>ut rd suatu <b>matriks sehingga matriks a dapat ditulis !m. Contoh soal matriks 1 memuat soal un matriks yang sesuai dengan level kognitif pengetahuan dan pemahaman. Untuk lebih jelas silahkan anda simak penjelasan dibawah ini. Materi kumpulan contoh soal matriks invers, matriks perkalian penjumlahan, dan matriks transpose beserta pembahasan dan jawabannya. Contoh soal tentukan matriks invers dari !
Transpose Matriks Dan Contoh Soalnya from www.belajarmtk.com Tingkat soal menguji kemampuan peserta untuk menyelesaikan soal dengan materi matrik tingkat dasar. Teori matriks ini pertama kali ditemukan oleh arthur cayley pada tahun 1958 dan telah berguna untuk berbagai macam bidang dalam kehidupan. Semoga dari contoh soal matriks di atas dapat memberikan pengetahuan baru dan dapat digunakan sebagai refrensi belajar yang asyik dan tidak membosankan, selamat belajar! Pelajari contoh soal matriks dan kerjakan latihan soalnya. Demikian pembahasan mengenai contoh soal matriks, penjumlahan matriks, perkalian matrik, persamaan matrik yang sering keluar dalam ujian dan tes masuk perguruan tinggi semoga berguna. Untuk ukuran m 8 n, sering kali dise<b>ut rd suatu <b>matriks sehingga matriks a dapat ditulis !m. Contoh soal tentukan matriks invers dari ! Postingan ini membahas contoh soal determinan matriks, transpose matriks dan pembahasannya atau penyelesaiannya.
Jan 24, 2017 · contoh soal dan pembahasan tentang matriks, contoh soal dan pembahasan tentang operasi matriks.
Matriks persegi a dieliminasi menggunakan operasi aljabar sampai membentuk matriks identitas. Pembahasan kita kali ini berkenaaan 37 contoh soal transpose matriks 2x3 png. Check spelling or type a new query. Matriks a dapat dikalikan dengan matriks b jika banyak kolom matriks a sama dengan banyak baris matriks b. Tentukan invers matriks a, misalnya kita gunakan perhitungan menurut baris pertama. Untuk lebih jelas silahkan anda simak penjelasan dibawah ini. Semoga dari contoh soal matriks di atas dapat memberikan pengetahuan baru dan dapat digunakan sebagai refrensi belajar yang asyik dan tidak membosankan, selamat belajar! Gambaran perhitungannya adalah sebagai berikut. Pelajari contoh soal matriks dan kerjakan latihan soalnya. Ulasan lengkap operasi hitung pada matriks | kedai mipa (jeremiah moreno). Sistem persamaan linear dua variabel. Sifat, operasi hitung dan penerapan. Dimana matriks sendiri merupakan penggambaran hasil transformasi fungsi linear dalam bentuk baris dan kolom yang tersusun atas angka atau objek lainya.
Berbagi
Posting Komentar
untuk "Contoh Soal Matriks A * B : Invers Matriks 3x3 2x2 Pengertian Sifat Contoh Soal : Tentukan invers matriks a = dengan transformasi baris elementer."
Posting Komentar untuk "Contoh Soal Matriks A * B : Invers Matriks 3x3 2x2 Pengertian Sifat Contoh Soal : Tentukan invers matriks a = dengan transformasi baris elementer."